This is the page we didn’t want to have, but realised it was inevitable, because even the books we admire the most need them.
| Where? | What? | The fix | Credits |
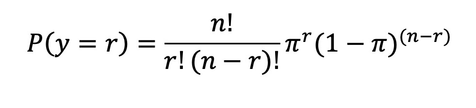
|---|---|---|---|
| P. 11 | Typographical error in the formula for the binomial. The last superscript should be n-r, rather than π-r | ![]() | Thanks to Nick Pullen |
| Box 7.2 | Box 7.2 has an error in the last paragraph, with the contrasts. We got ourselves mixed up in R. We contrasted a reference with a group of 3 potentially polluted sites, but used code assuming we’d reordered sites to make the reference first, rather than default alphabetical sorting. The code to resort the sites was not present, so the contrast outcomes are incorrect. Then corrected the values change, but the overall conclusions don’t. | The online worked example on Github has corrected code. | Us! |
| Sec. 3.3.1.2 | Heading should also specify that α is known | Thanks to Rene Malenfant | |
| Table 4.1 | Typographical error in the canonical parameter for the binomial distribution, with a missing divisor symbol | log(µ/(1-µ) | Rene M. |
| Sec. 5.5 | The first formula, for centering a variable, shows yi = yi – y_hat. It’s far more common, and consistent with text, to center using the sample mean, y_bar, rather than the expected value. | Rene M. | |
| S | Second-last line, target power is 0.80, not 0.08 | Rene M. |

